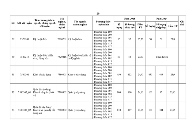
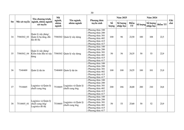
Dự kiến thông tin tuyển sinh 2026 hệ đại học chính quy của Trường Đại học Xây dựng cho thấy có 6 phương thức tuyển sinh. Cụ thể như sau:
Phương thức tuyển sinh 2026 Trường Đại học Xây dựng
1. Phương thức 1: Xét tuyển sử dụng kết quả của Kỳ thi tốt nghiệp THPT năm 2026 và kết quả thi các môn năng khiếu năm 2026 (với các chương trình đào tạo có xét tuyển các môn năng khiếu).
- Thí sinh đăng ký nguyện vọng xét tuyển trên Hệ thống hỗ trợ tuyển sinh chung của Bộ GDĐT (Hệ thống) từ ngày 02/7 đến 17 giờ 00 ngày 14/7/2026.
- Thí sinh sử dụng kết quả thi môn năng khiếu của các cơ sở giáo dục đại học khác, cần nộp kết quả thi môn năng khiếu trực tuyến qua Cổng Thông tin điện tử: https://nopdiemnk.huce.edu.vn từ ngày 01/6 đến 17 giờ 00 ngày 16/6/2026.
2. Phương thức 2: Xét kết quả học tập cấp THPT (học bạ) kết hợp với điều kiện điểm thi tôt nghiệp THPT:
- Thí sinh đăng ký nguyện vọng xét tuyển trên Hệ thống từ ngày 02/7 đến 17 giờ 00 ngày 14/7/2026.
3. Phương thức 3, 4, 5: Xét kết quả các Kỳ thi do các cơ sở giáo dục đại học khác tổ chức (TSA, SPT, V-SAT):
- Thí sinh đăng ký nguyện vọng xét tuyển trên Hệ thống từ ngày 02/7 đến 17 giờ 00 ngày 14/7/2026.
4. Phương thức 6: Tuyển thẳng và Ưu tiên xét tuyển
Phương thức tuyển thẳng tuyển sinh 2026
Thí sinh đăng ký theo các bước sau:
Bước 1: Nộp hồ sơ trực tiếp tại Trường (trong giờ hành chính) hoặc gửi qua đường Bưu điện bằng chuyển phát nhanh từ ngày 30/5/2026 đến 17 giờ 00 ngày 20/6/2026
Bước 2: Đăng ký trên hệ thống của Bộ GDĐT từ ngày 02/7 đến 17 giờ 00 ngày 14/7/2026.
Địa chỉ nhận hồ sơ:
Bộ phận tuyển sinh đại học, Phòng Truyền thông và Tuyển sinh, Trường Đại học Xây dựng Hà Nội, P.304 nhà A1, số 55 Đường Giải Phóng, Phường Bạch Mai, Hà Nội
Điện thoại: 0329 076 099; 0869 071 382
Ưu tiên xét tuyển tuyển sinh 2026
- Đối tượng: Thí sinh có thành tích đặc biệt hoặc thí sinh là học sinh hệ chuyên (3 năm học lớp 10, 11, 12) của các trường THPT chuyên toàn quốc, các trường THPT trọng điểm quốc gia hoặc có chứng chỉ đánh giá năng lực quốc tế đạt điểm từ 1200 (đối với chứng chỉ SAT) và 24 (đối với chứng chỉ ACT)
- Đăng ký trên hệ thống của Trường: https://utxt.huce.edu.vn từ ngày 30/5 đến 17 giờ 00 ngày 20/6/2026.
Lệ phí đăng ký:
1. Đăng ký trên Cổng thông tin điện tử của Trường:
50.000 đồng/1 hồ sơ/1 hình thức đăng ký. Thí sinh nộp qua hình thức chuyển khoản đến địa chỉ:
- Tên chủ tài khoản: Trường Đại học Xây dựng Hà Nội
- Số tài khoản: 111000094184 tại ngân hàng Vietinbank chi nhánh Hai Bà Trưng
- Nội dung chuyển tiền:
Thí sinh cần ghi rõ nội dung chuyển tiền theo cú pháp: < Họ tên thí sinh > < số Căn cước công dân (hoặc Hộ chiếu) > < LP > < tên viết tắt hình thức đăng ký > < 2026 >
- Ví dụ:
+ Đối với đăng ký xét tuyển thẳng: Nguyen Van Anh 012345678912 LP XTT 2026
+ Đối với đăng ký ưu tiên xét tuyển: Nguyen Van Anh 012345678912 LP UTXT 2026
2. Đăng ký trên Hệ thống của Bộ GDĐT:
Thí sinh nộp lệ phí theo quy định và hướng dẫn của Bộ GDĐT.
Lưu ý:
- Thông tin thí sinh đăng ký trên các Cổng thông tin điện tử của Trường dùng để làm dữ liệu phục vụ xét tuyển và xét cộng điểm ưu tiên. Công tác xét tuyển của Nhà trường thực hiện theo Kế hoạch của Bộ GDĐT.
- Thí sinh tự do (đã tốt nghiệp THPT, trung cấp trước năm 2026) chưa có tài khoản ĐKXT trên Hệ thống cần hoàn thiện việc xin cấp tài khoản ĐKXT với các Sở GDĐT (từ ngày 01/5 đến ngày 20/5/2026) để có thể đăng ký nguyện vọng xét tuyển trên Hệ thống;
Thông báo tuyển sinh 2026 hệ đại học chính quy (dự kiến)
































Chúng tôi luôn Lắng nghe và phản hồi