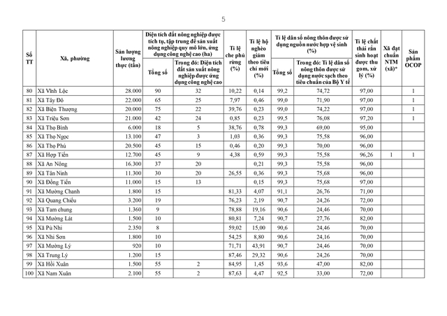
Quyết định số 208/QĐ-UBND của UBND tỉnh Thanh Hóa về việc ban hành Kế hoạch hành động thực hiện Nghị quyết của Chính phủ, Nghị quyết của Tỉnh ủy, HĐND tỉnh về nhiệm vụ phát triển kinh tế - xã hội, quốc phòng - an ninh năm 2026 có hiệu lực từ ngày 17/1/2026. Trong đó, UBND tỉnh yêu cầu tiếp tục đổi mới, sắp xếp tổ chức bộ máy và xây dựng đội ngũ cán bộ đảm bảo cả về chất lượng và số lượng.
Tham mưu điều động, sắp xếp đội ngũ cán bộ cấp xã đảm bảo số lượng và chất lượng
Nhiệm vụ, giải pháp chủ yếu được nêu trong Quyết định là tiếp tục đổi mới, sắp xếp tổ chức bộ máy và xây dựng đội ngũ cán bộ, công chức, viên chức, nâng cao chất lượng, hiệu quả hoạt động của tổ chức chính quyền địa phương 2 cấp. Theo đó:
1. Sở Nội vụ, UBND các xã, phường và các đơn vị liên quan:
Tiếp tục tham mưu đổi mới, sắp xếp tổ chức bộ máy và xây dựng đội ngũ cán bộ, nâng cao hiệu quả hoạt động của hệ thống chính trị;
Chuẩn bị tốt nguồn nhân sự và các điều kiện để tổ chức thành công Cuộc bầu cử đại biểu Quốc hội khóa XVI và đại biểu HĐND các cấp nhiệm kỳ 2026 - 2031.
Tham mưu điều động, bố trí, sắp xếp, bồi dưỡng chuyên môn, nghiệp vụ cho đội ngũ cán bộ, công chức cấp xã, bảo đảm về số lượng và chất lượng, đáp ứng yêu cầu nhiệm vụ;
Rà soát, sửa đổi, bổ sung, ban hành mới các quy chế, quy định về công tác cán bộ thuộc thẩm quyền.
Sắp xếp, kiện toàn chính quyền địa phương 2 cấp: Nâng cao tính chủ động, tự chủ của chính quyền địa phương
2. Các sở, ban, ngành; UBND các xã, phường:
- Tập trung nâng cao chất lượng, hiệu quả hoạt động của tổ chức chính quyền địa phương 2 cấp; nâng cao năng lực thực thi, tính chủ động, tự chủ, kiến tạo phát triển của địa phương trong chỉ đạo, điều hành phát triển kinh tế - xã hội.
- Chủ động phối hợp, kịp thời tháo gỡ các khó khăn, khắc phục những bất cập, mâu thuẫn, chồng chéo trong các quy định liên quan đến hoạt động của bộ máy mới, nhất là về nhân lực, cơ sở vật chất, quy hoạch, chuyển đổi số, hệ thống cơ sở dữ liệu;
Tăng cường phân cấp, phân quyền tối đa cho các địa phương, đơn vị, nâng cao năng lực thực thi, chất lượng và hiệu quả hoạt động của bộ máy chính quyền địa phương 2 cấp, bảo đảm tinh, gọn, mạnh, hiệu năng, hiệu lực, hiệu quả đo lường bằng mức độ hài lòng của người dân, doanh nghiệp./.
Toàn văn: Quyết định số 208/QĐ-UBND của UBND tỉnh Thanh Hóa về việc ban hành Kế hoạch hành động thực hiện Nghị quyết của Chính phủ, Nghị quyết của Tỉnh ủy, HĐND tỉnh về nhiệm vụ phát triển kinh tế - xã hội, quốc phòng - an ninh năm 2026./.































































































Chúng tôi luôn Lắng nghe và phản hồi